查看: 9095|回复: 25

[资料分享] 〔數學題〕抓極品寵/偷物品時應該抱有的心態

[复制链接]

奔跑的春风

50

主题

598

回帖

0

精华
iaij 发表于 2012-11-29 12:33:55 | 显示全部楼层 |阅读模式

唯有论坛启用QQ注册,使用QQ就可以登陆论坛,享用更多功能,让你轻松玩转论坛。

您需要 登录 才可以下载或查看,没有账号?论坛注册

×
因為一直在偷東西, 有關概率的書我去翻看了一下, 
本文的主題在於抓極品寵或者偷物品等低機率的活動設一個粗略的次數上限

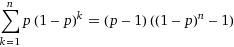
基本算式是這樣的, p = 概率, n = 重複的次數
a.gif
由於我們反覆去做一件事 , 所以我們關注的是第1次至第n次會得到東西的概率,
就以早2個月的滿檔改討論為例, 如果去改1000只
b.gif
雖然說出滿檔的機率是3125分之1, 但算式說明了改3125只僵屍, 出現滿檔的機率還是不高.....(對我來說)
c.gif
三千多分之一的機率, 其實要改到6000只, 得手的機率才能夠看的
d.gif
如題目如示~ 如果要確保能得到滿檔改要再望高一點 95%, 9000只左右便可以達到
e.gif
然而要100%出滿檔改是不可能的, 因為數量要無限個才可能

好了打了這麼多字也應該夠了, 再寫下去也沒有意思, 大家都不看的      

結論就是 別指望3000只就一定出滿檔, 付了3000只的努力可能都是悲劇,

要抱有9000只的準備才是可靠的, 而其他的情況大家可以根據公式自己算

我時間不多了, 回去繼續偷

奔跑的春风

50

主题

598

回帖

0

精华
 楼主| iaij 发表于 2012-11-29 12:41:05 | 显示全部楼层
馬上發現算式錯了
我忘了加上改第1次就成功的機率, 1/3125
以上得出的答案全部要加上1/3125 才正確
雖然數字太小完全可以忽略
我要说一句 收起回复
回复

使用道具 举报

唯有养老院

377

主题

8922

回帖

0

精华

注:纯爷们,不是彩子(菜籽)姐,有头像为证!

有爱勋章组双鱼座A版双鱼座B版牛灌水天才奖(月度)社区居民

彩色哲学 发表于 2012-11-29 12:44:53 | 显示全部楼层
这东西 太强大了
我要说一句 收起回复
回复

使用道具 举报

苍之风云

59

主题

861

回帖

0

精华

赏金猎人

慈善家勋章

淡蓝の花魂 发表于 2012-11-29 14:15:35 | 显示全部楼层
看的眼晕
我要说一句 收起回复
回复

使用道具 举报

唯有养老院

88

主题

8536

回帖

0

精华

天下武功,唯贱不破

龙天蝎座B版天蝎座A版

节操 发表于 2012-11-29 15:29:11 | 显示全部楼层
其实改的人越多,满档出现的越快
我要说一句 收起回复
回复

使用道具 举报

苍之风云

129

主题

4453

回帖

0

精华

哪里有什么天才,我只是把别人睡

慈善家勋章

蒼老师 发表于 2012-11-29 16:56:10 | 显示全部楼层
我压根没看 。。
我要说一句 收起回复
回复

使用道具 举报

奔跑的春风

50

主题

598

回帖

0

精华
 楼主| iaij 发表于 2012-11-29 18:36:46 | 显示全部楼层
這算式對我自己偷東西的啟發就在這裡:

只有1/1000 出來的東西, 偷上 3000 次都 偷不出來的機率只有5%...

換言之偷竊的次數大致上是可以掌握的, 只要準備上3000次的時間就有95%可以偷到手
我要说一句 收起回复
回复

使用道具 举报

苍之风云

179

主题

6392

回帖

0

精华

笑着活下去

白羊座A版白羊座B版金牛座B版狮子座B版射手座B版马慈善家勋章巨蟹座B版双鱼座B版天蝎座B版天秤座B版处女座B版摩羯座B版水瓶座B版白羊座B版双子座B版

咔咔 发表于 2012-11-29 23:34:47 | 显示全部楼层
引用第6楼iaij于2012-11-29 18:36发表的  :
這算式對我自己偷東西的啟發就在這裡:

只有1/1000 出來的東西, 偷上 3000 次都 偷不出來的機率只有5%...

換言之偷竊的次數是可以掌握的, 只要準備上3000次的時間就可以偷到手


自然是偷得越多,获得的概率就越大,你的算法也是正确的
但是命题是错的,概率事件除非无穷大,否则不可能变成必然事件
每一次去偷的概率都是独立事件
就好比你去买100次彩票,并不能增加第101次中奖的概率
我要说一句 收起回复
回复

使用道具 举报

奔跑的春风

50

主题

598

回帖

0

精华
 楼主| iaij 发表于 2012-11-30 00:09:34 | 显示全部楼层
每次嘗試當然是独立事件了   每次的機率也是千分之1

我的重點在於 處理低出率的東西時應該抱有的心態

千分之一的機率, 偷1000次能偷到的機率是63.17%, 這是比我預期中的低的

而偷3000次能偷到的機率是95%, 這個概率也比較安全

所以如果要得到1件東西, 我覺得應該有3000次準備,

你如果要偷上3000以上, 就代表了你運\氣非常非常差了

而至於偷多少次才能必然能偷到的問題答案當然是無限了,
第1條式當n接近無限時, 概率接近1

但是這並不現實, 也不是我的發帖目的

可能題目有誤導 我明天早上去改一下
我要说一句 收起回复
回复

使用道具 举报

荣誉会员

121

主题

1519

回帖

0

精华

这年头我们求的是生存,不是生活

慈善家勋章白羊座A版

RU 发表于 2012-12-10 14:36:22 | 显示全部楼层
这不高中数学么,排列组合的知识。。。。。
我要说一句 收起回复
为了这张图我决定要弄俩骷髅
回复

使用道具 举报

您需要登录后才可以回帖 登录 | 论坛注册

本版积分规则

Archiver|手机版|小黑屋|唯有魔力 |网站地图

Powered by Discuz! X3.5

© 2001-2013 Comsenz Inc. DesignSingcere!

GMT+8, 2025-12-15 08:15 , Processed in 1.063626 second(s), 49 queries .